课程思政•教研论坛:2020年校“立德树人”优秀教育教学案例三等奖
立德树人思想在有机化学教学中的应用
环境工程与化学美高梅娱乐场
杨双花

作者简介:杨双花,女,中共党员,硕士,讲师,基础化学教研室教师。主讲《有机化学》课程,主要从事有机无机材料和课程思政方面的研究,参与完成省部级项目7项,主持校党建研究课题1项,发表教研论文3篇,发表SCI论文10篇,获河南教育厅优秀科技论文二等奖2项。
摘要:立德树人是教育的根本任务,最为核心的内容就是要培养学生“德才兼备,以德为先”。因此,在专业课程教学中也必须融入立德树人思想。本文以《有机化学》课程为例,通过适时地融入与有机化学课程相关的各类典型案列,使学生在学习专业知识的同时,树立学生高尚的道德情操,做到立德与树人并举。
关键词:立德树人;有机化学;案例教学
当代大学教育中,思想政治学习与专业知识学习并驾齐驱,虽然两方面都不断发展创新,但很少融合起来讲,学生在掌握知识的时候也是两方面割裂开的,这对人才培养是不利的。早在北宋时期,文学家、史学家、政治家司马光在《资治通鉴》里写道:“才德全尽谓之圣人,才德兼亡谓之愚人,德胜才谓之君子,才胜德谓之小人。” 这里就提到有才无德的人最可怕。习近平总书记2018年5月2日在北京大学师生座谈会上也提到:“我们的教育要培养德智体美全面发展的社会主义建设者和接班人”。“才者,德之资也;德者,才之帅也”。因此,人才培养中德育教育尤为重要。同时,有机化学是高等院校化学相关专业非常重要的基础课,在生命科学、材料科学、环境科学、能源化工等诸多学科领域中都有所渗透。但传统的有机化学教学更侧重于知识的掌握,往往不太关注育人的功能。因此,如何在教学中使有机化学的理论学习与相关的德育元素完美融合,值得深入探讨。笔者结合自己的探索实践,分享一些有机化学中全方位育人的教学经验。
1结合时代发展,融入最新社会事件,激发学生学习动力
2019年底以来,新冠疫情肆虐。这就要求人们一方面要加紧治疗,另一方面要做到积极有效的防护。一时间消毒液、防护服、口罩等防护用品成了极其稀缺的物资,同时积极探索实验有效的治疗药物也尤为重要。纵观两方面,不管是药物的寻求还是防护装备的研发都与我们学习的有机化学密不可分。以此为契机,强调有机化学在人类社会发展进步中的作用,激励学生认真钻研有机化学知识,掌握深入的理论与熟练的实验技能,为现阶段的突发事件以及将来的可能其他事件贡献自己的力量。
1.1身边的实例
比如为做好美高梅娱乐场
新型冠状病毒疫情防控工作,确保师生健康安全,我们美高梅娱乐场
积极响应美高梅娱乐场
疫情防控办公室要求,美高梅娱乐场
长期从事精细化学品相关的教学、科研及生产工作,在日化品制备方面有丰富经验的应用化学系的王永刚博士和李娜博士利用美高梅娱乐场
的实训装置研制生产设备,通过查阅资料和市场调研,课题组选择并确定高效无毒的对氯间二甲苯酚(PCMX)作为杀菌剂。确定并优化洗手液的配方后,课题组在实验室完成了洗手液的小试调配和性能测试,研制出白色珠光抑菌洗手液。


1.2即时的药物案例
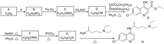
磷酸氯喹是一种抗疟疾药物,该药物在细胞水平上能有效抑制武汉爆发的疫情新型冠状病毒2019-nCoV的感染。它的合成如下:

这种药物的合成,恰好就用到了我们的有机化学知识,可以让学生先看一下这个药物的结构,然后给出合成步骤,让学生去分析每一步所涉及的有机化学课程的相关章节,来用实际案例的方法来学习课本内容,然后上升到应用的层次上。比如这个药物的第一步就是苯的硝化反应,第二步是硝基苯的间位氯代,第三步是硝基氯苯的硝基被还原为氨基等等。
通过这样的与社会即时的突发事件相关联,容易引起学生的兴趣,激发学生的学习主动性。同时也能让学生意识到自己所学的知识能够解决与人类发展密切相关的重大问题,容易提升学生的自我价值,间接培养学生的自豪感,从而使学生以更加积极的态度去学习基本理论,同时激发学生的科研热情,推动学生自我创新,自我钻研科技前沿,使学生逐渐建立起为人类发展、为祖国进步贡献自我力量的民族自豪感。
2结合实际社会案例,让学生树立正确的人生观、价值观
化学的发展是把双刃剑,化学药品对社会的发展起到了极大的推动作用,但应用不当也会造成极其严重的社会事件。
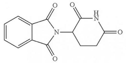
2.1 “反应停”事件

沙立度胺的结构式
沙立度胺是一种能缓解妇女妊娠期精神紧张,防止孕妇恶心,并且有安眠作用的药物,又被叫作“反应停”。但服用了反应停的母亲生出的婴儿手脚比正常人短,或根本没有手脚。截至到1963年在世界各国,如西德、美国、荷兰和日本等国,因为“反应停”的使用诞生了1.2万多名形状如海豹一样的可怜婴儿。最终在媒体的披露下,人们才意识到这起丑闻的产生是由于在“反应停”出售之前,相关机构根本并未仔细检验其可能产生的副作用。
2.2复旦投毒案
2013年4月上海复旦大学上海医美高梅娱乐场
研究生林森浩在宿舍公用的饮水机中投入剧毒化学品N-二甲基亚硝胺,致使室友黄洋中毒后死亡。
通过这些案例,要让我们的学生明白,人不能只为了追求自己的利益,而忽视对社会的危害,要引导学生建立正确的人生观、价值观。因为学生是我们的未来,他们将来可能会在各行各业中发挥巨大作用,因此一定要从根本上树立正确的人生观、价值观,才不会盲目追逐名利而忽视社会的安全稳定发展
3结合化学名人事迹,培养学生坚持不懈的科研精神以及家国情怀和使命担当精神
3.1屠呦呦与青蒿素
有机化学的一个重要研究领域,就是对天然产物进行分离、提取。这是一项非常复杂的工作,因为植物里面的成分种类特别多,想要将它们一个一个分离开就是一项艰巨的工作,然后还要确定其结构,这些都是繁琐又复杂的任务,没有坚定的科研精神是很难进行下去的。同样,学生学起来也很开枯燥,引入适当的名人案例,能够激发学生的学习热情和学习动力。

2015年10月,屠呦呦因为发现治疗疟疾的青蒿素而获得诺贝尔生理医学奖,这是中国本土科学家第一次获得诺贝尔科学奖项,是中国人民的骄傲。青蒿素的发现凝聚了屠呦呦及其团队大量的心血,体现了他们孜孜不倦、勇攀高峰的科学精神。1969年1月,屠呦呦担任中医研究院科研组长,全面负责“疟疾防治药物研究工作协作”项目。此前,已经有4万多种化合物被国内其他科研人员用于筛选抗疟疾效果,效果不佳。看到《肘后备急方治寒热诸疟方》中“青蒿一握,以水二升渍,绞取汁,尽服之。”的记载时,屠呦呦意识到青蒿治病用到的是青蒿汁,而温度对青蒿汁的提取或许至为关键。尝试用低沸点的乙醚提取,药效明显提高,但毒性也随之提高了。在经过复杂的分离和改造之后,最终获得巨大成功。
3.2赵承嘏:毕生心血“化”本草

赵承嘏,药物学家,据考证,是中国第一位化学博士,毕生致力于中草药化学研究,研究了雷公藤等30多种中草药的化学成分,为发掘和提高祖国医药学做出了卓越的成就,并为中国医药界培养了几代药学研究人才。
1905年,年仅20岁的赵承嘏进入曼彻斯特大学化学系学习,寻求救国救民之道。之后8年时间获得博士学位。1922年,赵承嘏得知北洋政府摧残中医学的消息,毅然下定决心,回国研究中草药化学,并将研究中草药作为自己终身追求的目标。面对老师、同事的再三劝阻和家人的不舍,赵承嘏的回应是“祖国需要,刻不容缓,我不怕苦”。随后,只身回到祖国。
通过这些名人事迹的引入,能够培养学生耐得住寂寞,刻苦钻研,不畏艰难,勇往直前的科研精神,通过不懈的努力才能获得一定的结果,取得一定的成功。没有任何事是容易的,风雨之后才会有彩虹。同时,从这些名人身上也能感知他们对祖国的热爱,当祖国危难之时,不是考虑自己生活的安逸,而是为祖国母亲焦虑,积极主动为国分忧。树立学生的爱国热情,培养学生的爱国情操,使我们的学子习得本领,为自己祖国的发展壮大贡献力量,而不是为别人做嫁衣。
4结 语
我国高等教育要培养的是德智体美全面发展的社会主义事业建设者和接班人,而不是旁观者,更不是反对派和掘墓人。这就要求高校教师既要抓专业知识学习,还要注重学识人文道德素质的培养,不但要教授学生必备的专业知识,还要抓牢立德树人不放松。要将立德放在人才培养的首位,在青年学生中大力培育和弘扬社会主义核心价值观,为实现中华民族伟大复兴的中国梦凝聚强大正能量。同时,立德先立师,树人先正己。因此高校教师必须先要认真践行社会道德,拥有高尚的道德情操,这样才能做学生品格、学识、创新、奉献祖国的引路人。“水之积也不厚,则其负大舟也无力。”想要让学生学有所成,则教师本身就应该具备渊博的学识,而知识会随时代爆炸性的更新,这就要求教师必须始终处于探索、学习的状态,站在时代发展前沿,不断积累储备知识。同时还要随科技变化,不断采用新的技术和手段不断提升自己的教学技能,不断学习掌握新的科学知识,提升自己的内在素质、业务能力和教育教学质量。